Ответы
Ответ дал:
0
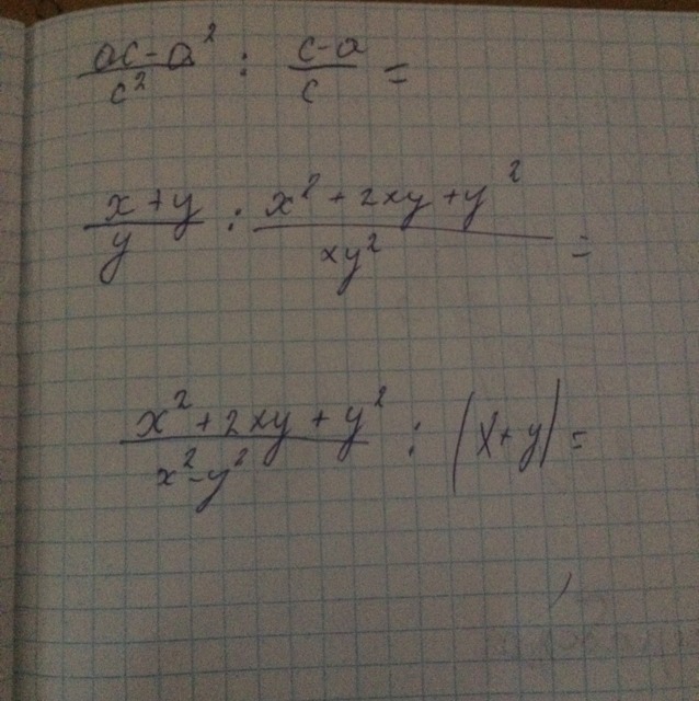
ac-a^2/ c^2 : c-a/ c = a(c-a) / c^2 X c/ c-a = c-a/ c
x+y/ y : x^2+2xy+y^2/ xy^2= x+y/y X xy^2/ (x+y)^2= xy/ x+y
x^2+2xy+y^2/ x^2-y^2 : (x+y) = (x+y)^2/ (x-y)(x+y) X 1/ x+y= 1/ x-y (X-умножение)
x+y/ y : x^2+2xy+y^2/ xy^2= x+y/y X xy^2/ (x+y)^2= xy/ x+y
x^2+2xy+y^2/ x^2-y^2 : (x+y) = (x+y)^2/ (x-y)(x+y) X 1/ x+y= 1/ x-y (X-умножение)
Вас заинтересует
3 года назад
3 года назад
7 лет назад
7 лет назад
10 лет назад
10 лет назад
10 лет назад
10 лет назад