• Предмет: Физика
  • Автор: Nobunaga
  • Вопрос задан 9 лет назад

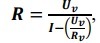
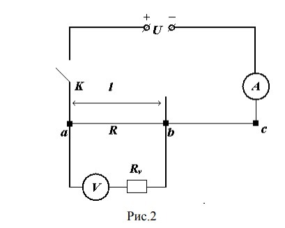
Выведите формулу (формула и цепь приложены).

Приложения:

Ответы

Ответ дал: cerebro1st
0
Напряжения на параллельных участках равны, поэтому U(общ)=U(на вольтметре). Остальное вроде всё должно быть понятно, если что, спрашивай. Только ещё есть один нюанс: вольтметр подключают параллельно, а не последовательно
Приложения:
Вас заинтересует