• Предмет: Алгебра
  • Автор: lidiyan1
  • Вопрос задан 9 лет назад

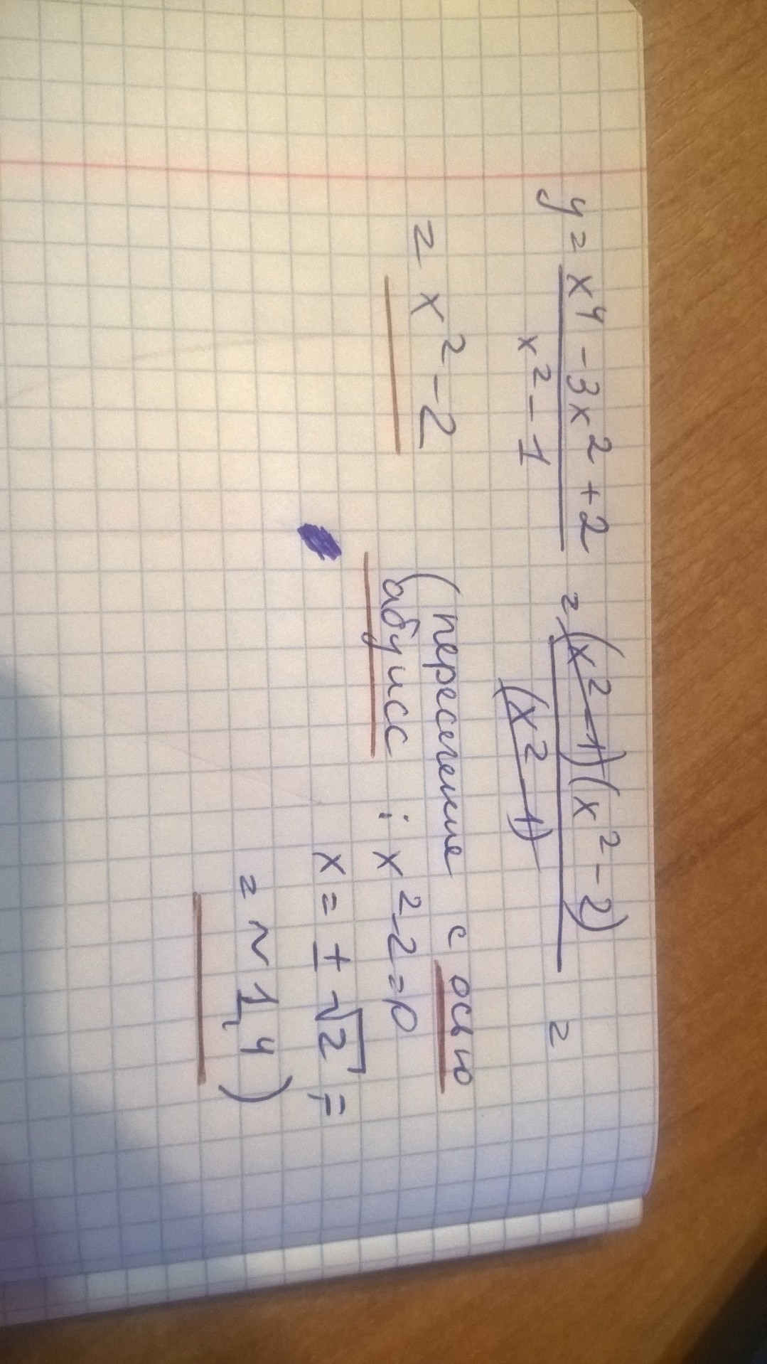
решите уравнение и изобразите график функции. Помогите пожалуйста !

Приложения:

Ответы

Ответ дал: kseniyap
0
если что-то не понятно,пиши
Приложения:
Ответ дал: lidiyan1
0
А как решать? нужно умножать обе части на (x2-1)? или решать только то, что в числителе ?
Ответ дал: lidiyan1
0
спасибо!
Вас заинтересует