• Предмет: Математика
  • Автор: dannyfx256
  • Вопрос задан 9 лет назад

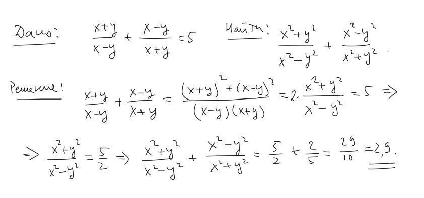
Известно, что $frac{x + y}{x - y}+frac{x-y}{x+y}=5$. Найдите значение выражения $frac{x^2 + y^2}{x^2 - y^2}+frac{x^2-y^2}{x^2+y^2}$
Помогите плз

Ответы

Ответ дал: Denik777
0
Решение прицеплено в картинке.
Приложения:
Вас заинтересует