Ответы
Ответ дал:
0
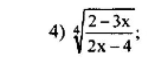
Во первых знаменатель дроби не должен равняться 0, то есть
2x - 4 не равно 0, x не равен 2.
Во вторых (2 - 3x) / ( 2x - 4) >=0
(3x - 2)/(2x -4)<=0
(x - 2/3)(x - 2)<=0
x э [2/3; 2)
2x - 4 не равно 0, x не равен 2.
Во вторых (2 - 3x) / ( 2x - 4) >=0
(3x - 2)/(2x -4)<=0
(x - 2/3)(x - 2)<=0
x э [2/3; 2)
Вас заинтересует
2 года назад
2 года назад
7 лет назад
7 лет назад
10 лет назад
10 лет назад