• Предмет: Алгебра
  • Автор: Tori301200
  • Вопрос задан 9 лет назад

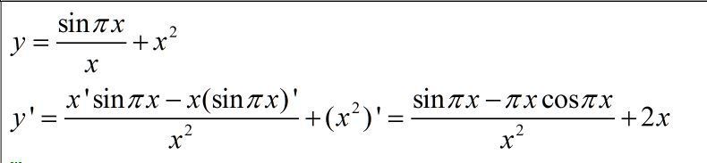
помогите, пожалуйста, найти производную. очень срочно надо

Приложения:

Ответы

Ответ дал: Аноним
0
решение смотри во вложении
Приложения:
Ответ дал: Tori301200
0
огромное спасибо за помощь
Ответ дал: Аноним
0
на здоровье!
Вас заинтересует