• Предмет: Математика
  • Автор: МаксимСултанов2002
  • Вопрос задан 9 лет назад

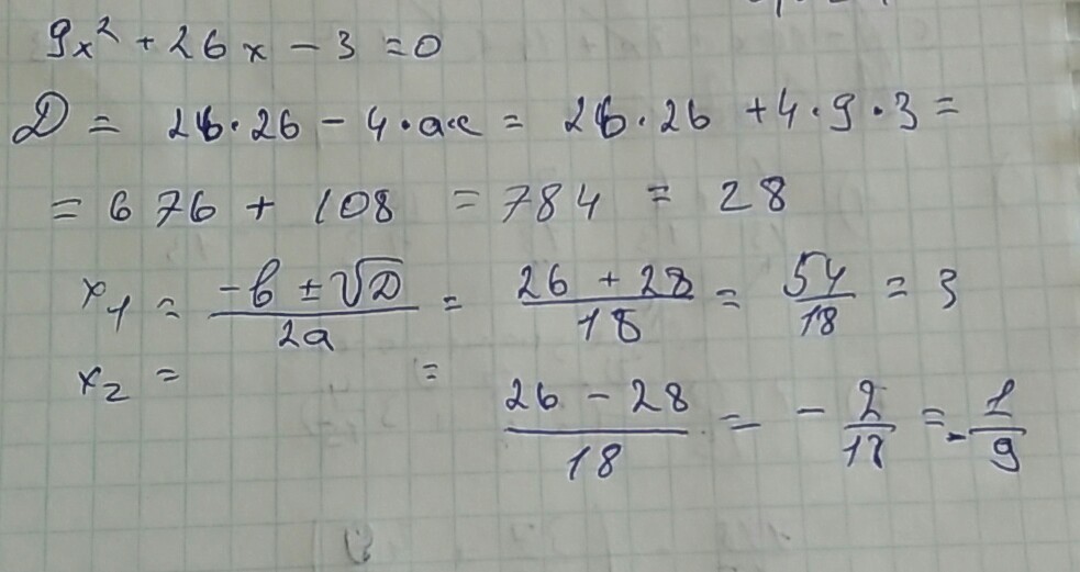
9х^2+26х-3=0
заранее спасибо

Ответы

Ответ дал: темыч18
0
на пользуйся наздоровья
Приложения:
Вас заинтересует