• Предмет: Алгебра
  • Автор: Ксюхахаха
  • Вопрос задан 9 лет назад

Ребята, помогите, пожалуйста, решить  задание.

Приложения:

Ответы

Ответ дал: LFP
0
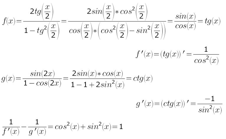
до взятия производной удобно выражение чуть упростить...
в результате получилось основное тригонометрическое тождество))
Приложения:
Ответ дал: Ксюхахаха
0
Большое спасибо за помощь!!!
Ответ дал: LFP
0
на здоровье.
Вас заинтересует