• Предмет: Алгебра
  • Автор: lol1kek2chebyrek
  • Вопрос задан 9 лет назад

СРОЧНО!!!ХЕЛП!!!!ОТДАМ 35 БАЛЛОВ КТО РЕШИТ

Приложения:

Ответы

Ответ дал: yanaroslaya041
0
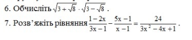
6)0
7)3х_56/7х
вроде так
Ответ дал: lol1kek2chebyrek
0
а решение есть?
Вас заинтересует