• Предмет: Алгебра
  • Автор: юля2575
  • Вопрос задан 9 лет назад

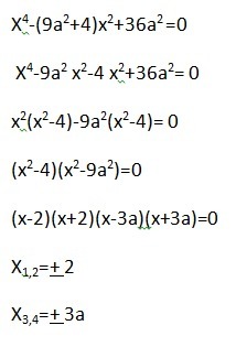
решите пожалуйста х^4-(9а^2+4)х^2+36а^2=0

Ответы

Ответ дал: товик
0
ответ в прикрепленном файле
Приложения:
Ответ дал: юля2575
0
реши пожалуйста этот (х+3)^4-13 (х+3)^2+36=0
Ответ дал: товик
0
здесь нельзя решать
Вас заинтересует