• Предмет: Физика
  • Автор: gunelmirzoeva
  • Вопрос задан 9 лет назад

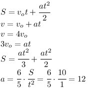
За последнюю секунду до остановки тело прошло 10 см.
Вычислите модуль ускорения тела.

Ответы

Ответ дал: AsocasAssaL
0
Ответ: 12 м/с^2
Если помогла,поставьте спасибо)))
Приложения:
Вас заинтересует