• Предмет: Алгебра
  • Автор: Аноним
  • Вопрос задан 9 лет назад

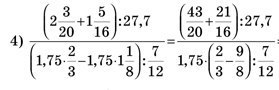
Помогите с алгеброй, 9 класс! С меня 100 баллов!!!

Приложения:

Ответы

Ответ дал: sashalosev1048
0
Девять целых тринадцать четырнадцатых
Вас заинтересует