• Предмет: Алгебра
  • Автор: Аноним
  • Вопрос задан 9 лет назад

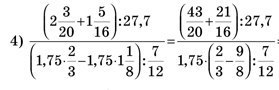
Помогите с алгеброй / 9кл / Желательно с фото решения спасибо

Приложения:

Ответа на этот вопрос пока нет. Попробуйте найти его через форму поиска.

Вас заинтересует