• Предмет: Алгебра
  • Автор: teffy1
  • Вопрос задан 11 лет назад

y=ln^2 (x^3); y'=?

y=a^(3x^2+1); y'=?

y=ln (ln x); y'=?

Ответы

Ответ дал: lerrkoo
0
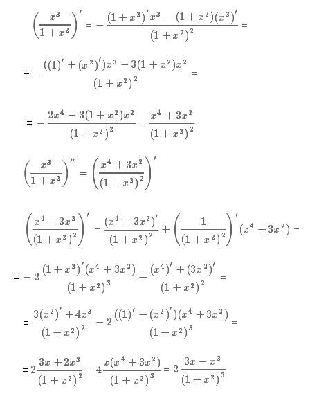
вот решение)))))))
Приложения:
Ответ дал: lerrkoo
0
наверно
Вас заинтересует