• Предмет: Математика
  • Автор: december02
  • Вопрос задан 9 лет назад

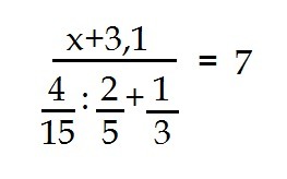
решите уравнение.заранее спасибо!!!(5 класс)

Приложения:

Ответа на этот вопрос пока нет. Попробуйте найти его через форму поиска.

Вас заинтересует