• Предмет: Алгебра
  • Автор: nikdevel167
  • Вопрос задан 9 лет назад

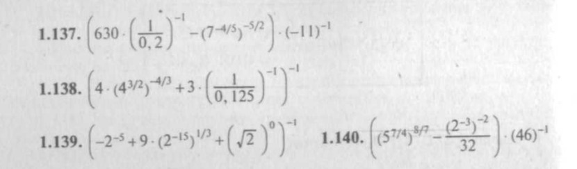
Помогите пожалуйста)
(пришлите фотографию с решением)

Приложения:

Ответы

Ответ дал: borkeds
0
1.137

=(630*0,2-7²)*(1/11)=... дальше сами

учите свойства степеней, тут все просто!!! 
Ответ дал: borkeds
0
0.2=2/10 И 610*2/10 это 61*2 ...
Ответ дал: borkeds
0
Точнее там НЕ 610 а 630 извините
Вас заинтересует