Ответы
Ответ дал:
0
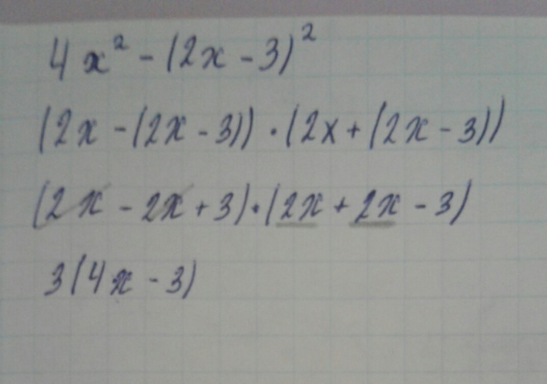
4х^2-(2х-3)^2 = 4x^2-(4x^2-12x+9)=12x-9
Ответ дал:
0
там где простым карандашом зачеркнуто, там сокрощается.
а там где подчеркнуто, там подобные.
а там где подчеркнуто, там подобные.
Приложения:

Вас заинтересует
2 года назад
2 года назад
6 лет назад
9 лет назад
9 лет назад
10 лет назад