Ответы
Ответ дал:
0
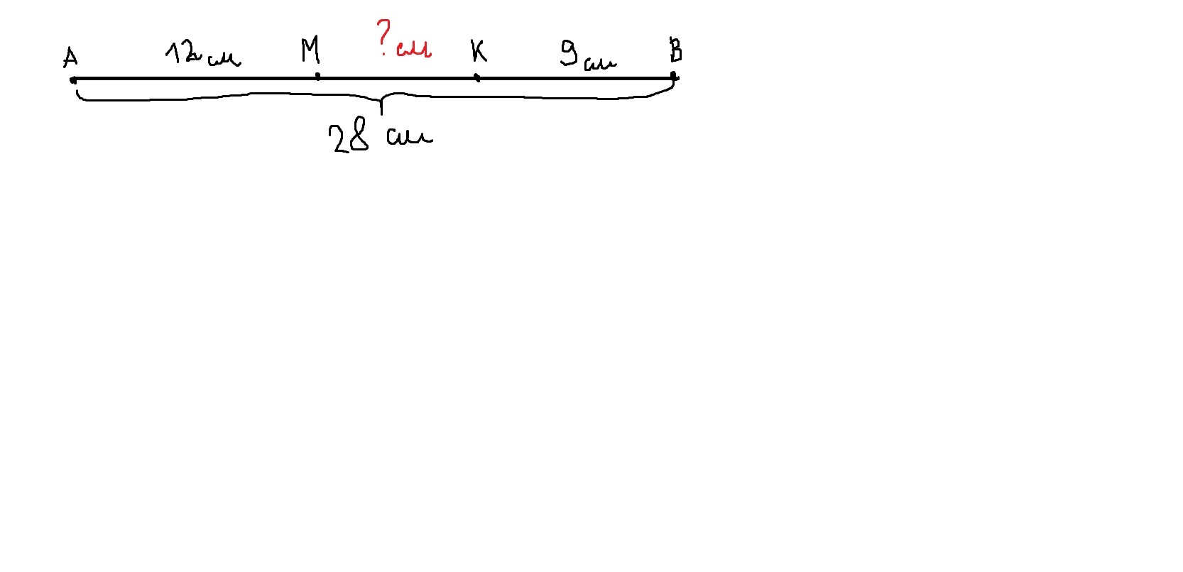
Решим данную задачу по действиям и подробно поясним каждое из них. 1) 12 + 9 = 21 сантиметр — сумма длин отрезков АМ и МВ, так как длина отрезка АМ равно 12 сантиметрам, а длина отрезка МВ равна 9 сантиметрам; 2) 28 - 21 = 7 сантиметров — длина отрезка МК, так как очка К лежит между точками М и В и длина всего отрезка АВ равна 28 сантиме ров, а сумма длин отрезков АМ и МВ равна 21 сантиметр. Ответ: 7 сантиметров.
Ответ дал:
0
найдем сумму длин отрезков АМ + ВК=12см+9 см=21 см
найдем длину отрезка МК=28см-21 см=7см
найдем длину отрезка МК=28см-21 см=7см
Приложения:

Ответ дал:
0
12 см+9см=21 см сумма отрезков 28см-21см=7см
Ответ дал:
0
спасибо
Вас заинтересует
2 года назад
2 года назад
9 лет назад
9 лет назад
10 лет назад