• Предмет: Математика
  • Автор: MathRyder
  • Вопрос задан 9 лет назад

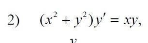
Решить дифференциальное уравнение

Приложения:

Ответы

Ответ дал: luntoly
0
Ловите! Дальше упрощать и выражать y не получится и, собственно, не имеет смысла. Если уж совсем нужно, что очень вряд ли, то только через комплексные операторы. Конечно, х = 0, у = 0 тоже решение, но оно никого не интересует))
Приложения:
Вас заинтересует