• Предмет: Математика
  • Автор: скитлс
  • Вопрос задан 11 лет назад

2целых 2/3 : 3 целых 1/3 = х : 3,5 =? Благодарю))

Ответы

Ответ дал: Margaritta10
0
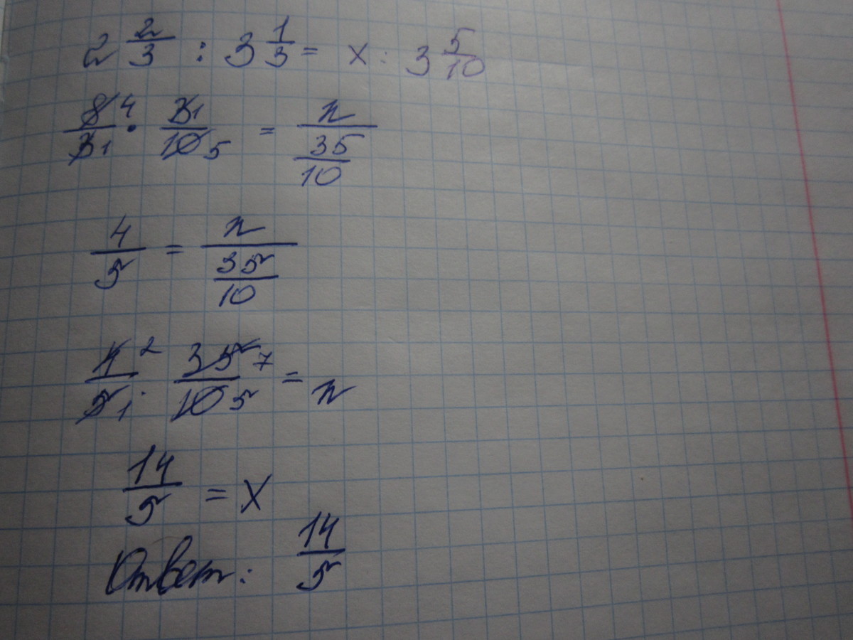
8/3:10/3= 4/5
х:7/2=4/5
х=4/5*7/2
х=14/5
вроже так))

Ответ дал: Margaritta10
0
Проверьте) вроде получилось правильно)
Ответ дал: русская25
0
.......................................
Приложения:
Вас заинтересует