Ответы
Ответ дал:
0
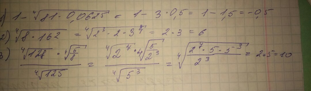
решение на фотооооооооооооо
Приложения:

Ответ дал:
0
огромное спасибо, все понятно
Вас заинтересует
2 года назад
6 лет назад
6 лет назад
9 лет назад
10 лет назад