Помогите срочно!
Решите уравнения :
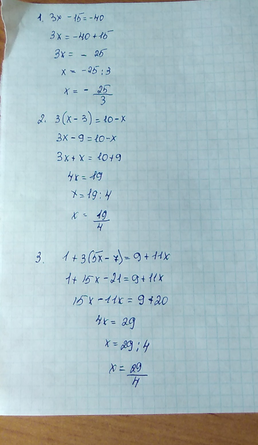
1) 3x-15=-40
2) 3(x-3)=10-x
3) 1+3(5x-7)=9+11x
Распишите всё пожалуйста.
Заранее спасибо!
Ответы
Ответ дал:
0
Отправлю фото)))))))
А если тебе нужна целая часть, то я её ниже напишу
1. - 8 1/3
2. 4 3/4
3. 7 1/4
А если тебе нужна целая часть, то я её ниже напишу
1. - 8 1/3
2. 4 3/4
3. 7 1/4
Приложения:
Ответ дал:
0
Спасибо тебе огромное!
Ответ дал:
0
Не за что)))
Вас заинтересует
3 года назад
3 года назад
7 лет назад
7 лет назад
10 лет назад