Запишите дано и решение полностью
Четырех угольник разделен диагональю на два треугольника. Периметры этих треугольников и четырех угольника соответственно равны 30м, 34м, 36м. Найдите длину диагонали четырехугольника.
Ответы
Ответ дал:
0
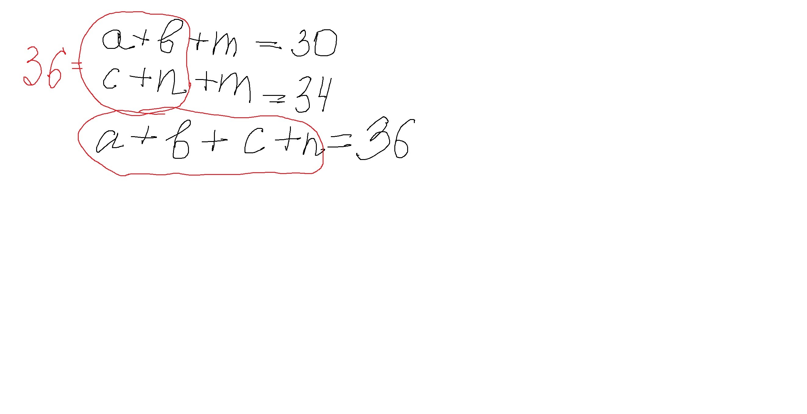
а + в + м = 30 периметор левого треугольника
с + п + м = 34 периметр правого треугольника
а + в + с + п = 36 периметр четырехугольника
в последней строчке все 4 слагаемых - это сумма первых двух слагаемых в первой и второй строчке
складываем 1 строку и вторую строку
а + в + м + с + п + м = 30 + 34
36 + 2м = 64
2м = 64 - 36
2м = 28
м = 14 см это диагональ
Приложения:


Ответ дал:
0
добавила рис. Области, обведенные красным, равны. Это выражение равно 36. поэтому мы складываем первые два уравнения. а+в+с+п заменяем на 36. остается 36 + 2м = 30 + 34
Вас заинтересует
2 года назад
2 года назад
6 лет назад
9 лет назад
9 лет назад
10 лет назад