Ответы
Ответ дал:
0
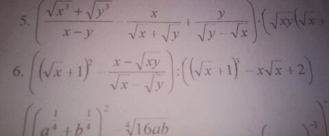
Ну, вроооде так, если все правильно получилось)
Приложения:

Вас заинтересует
2 года назад
2 года назад
6 лет назад
9 лет назад
10 лет назад