• Предмет: Алгебра
  • Автор: 11Daria04
  • Вопрос задан 9 лет назад

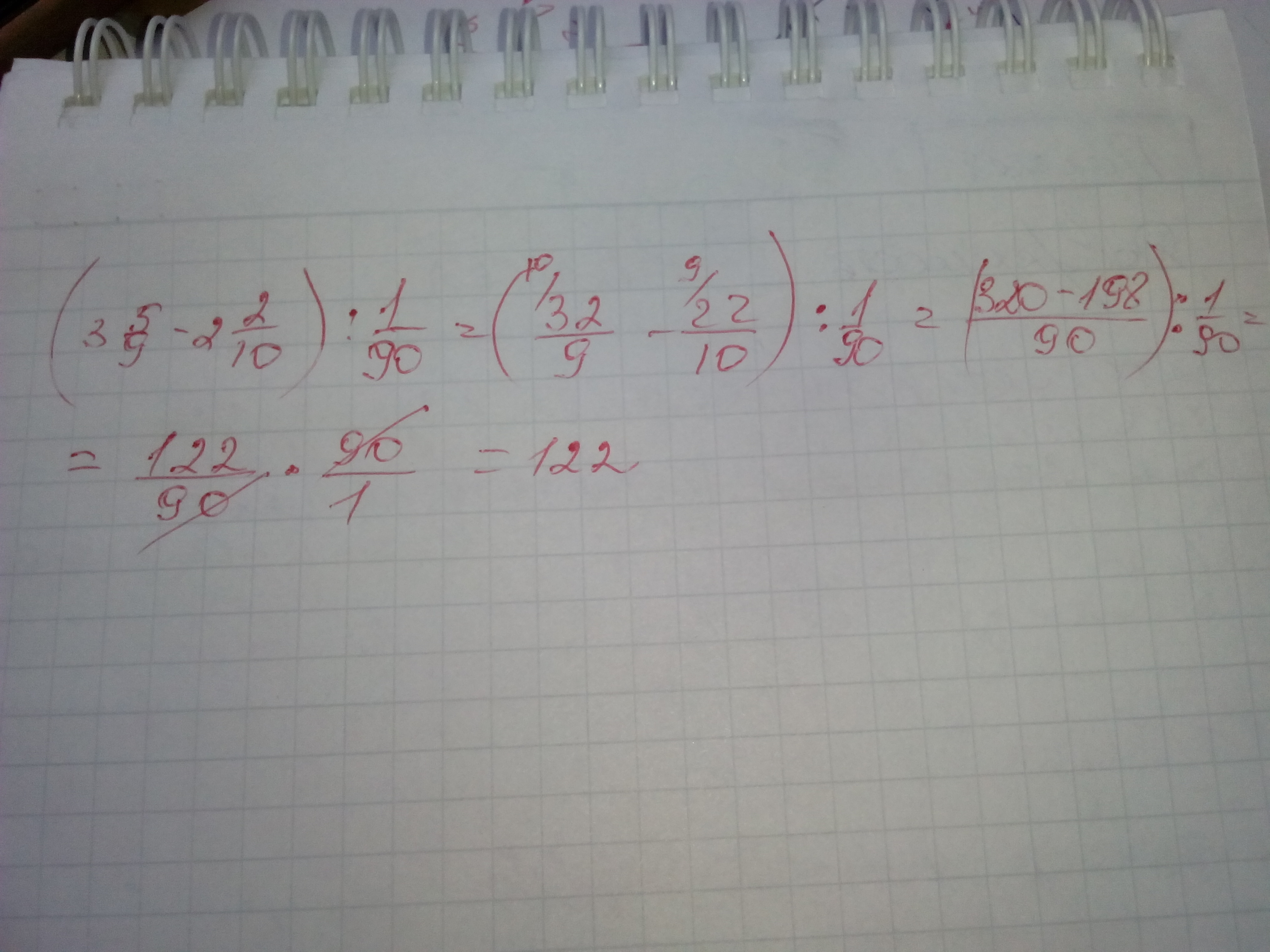
Найти значение выражения

Приложения:

Ответы

Ответ дал: yakatya08
0
Решение во вложенном файле
Приложения:
Ответ дал: 11Daria04
0
А почему там 2 2/10, если в задании 2,2?
Ответ дал: yakatya08
0
ну 2 целых 2 десятых можно записать 2,2 или 2 2/10
Ответ дал: 11Daria04
0
Все понятно
Вас заинтересует