• Предмет: Алгебра
  • Автор: danilovvrus
  • Вопрос задан 9 лет назад

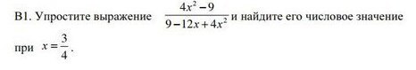
очень срочно,всё на фото

Приложения:

Ответы

Ответ дал: Мираж05
0
2x+3
_____
2x-3
Ответ:-3
Ответ дал: spzhn
0
не правильно
Ответ дал: Мираж05
0
я так думаю
Ответ дал: spzhn
0
нужно решать правильно, а не так, как думаешь
Ответ дал: spzhn
0
вот тебе и ответ, извини, пишу все это чтобы можно было отправить ответ. все проверила, все правильно
Приложения:
Вас заинтересует