Ответы
Ответ дал:
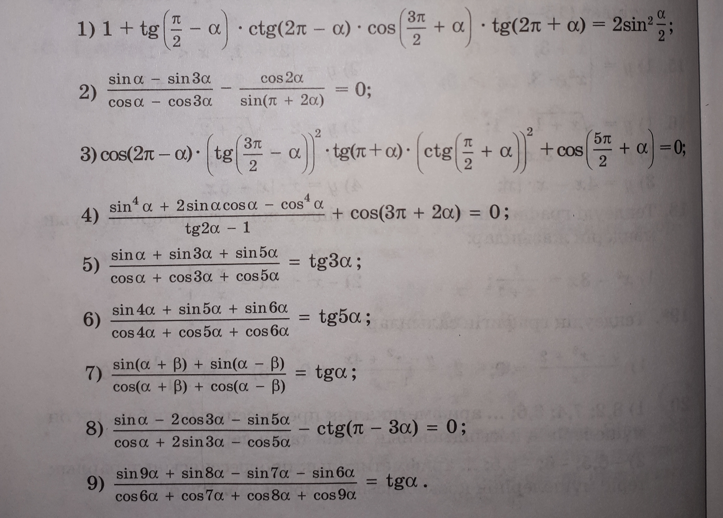
0
1
1+сtga*(-ctga)*sina*tga=1-ctg²a*sina*tga=1-(cos²a*sina*sina)/(sin²a*cosa)=
=1-cosa=1-1+2sin²a/2=2sin²a/2
3
cosa*(-ctga)²*(-tga)*(-tga)²+sina=cosa*1*(-tga)+sina=cosa*(-sina/cosa)+sina=
=-sina+sina=0
5
(2sin3acos2a+sin3a)/(2cos3acos2a+cos3a)=sin3a(2cos2a+1)/[cos3a(2cos2a+1)]=sin3a/cos3a=tg3a
7
2sin[(a+b+a-b)/2]*cos[(a+b-a+b)]/2cos[(a+b+a-b)/2]*cos(a+b-a+b)]=
=2sin2a*cos2b/2cos2a*cos2b=tg2a
1+сtga*(-ctga)*sina*tga=1-ctg²a*sina*tga=1-(cos²a*sina*sina)/(sin²a*cosa)=
=1-cosa=1-1+2sin²a/2=2sin²a/2
3
cosa*(-ctga)²*(-tga)*(-tga)²+sina=cosa*1*(-tga)+sina=cosa*(-sina/cosa)+sina=
=-sina+sina=0
5
(2sin3acos2a+sin3a)/(2cos3acos2a+cos3a)=sin3a(2cos2a+1)/[cos3a(2cos2a+1)]=sin3a/cos3a=tg3a
7
2sin[(a+b+a-b)/2]*cos[(a+b-a+b)]/2cos[(a+b+a-b)/2]*cos(a+b-a+b)]=
=2sin2a*cos2b/2cos2a*cos2b=tg2a
Вас заинтересует
2 года назад
7 лет назад
7 лет назад
10 лет назад
10 лет назад
10 лет назад