Ответы
Ответ дал:
0
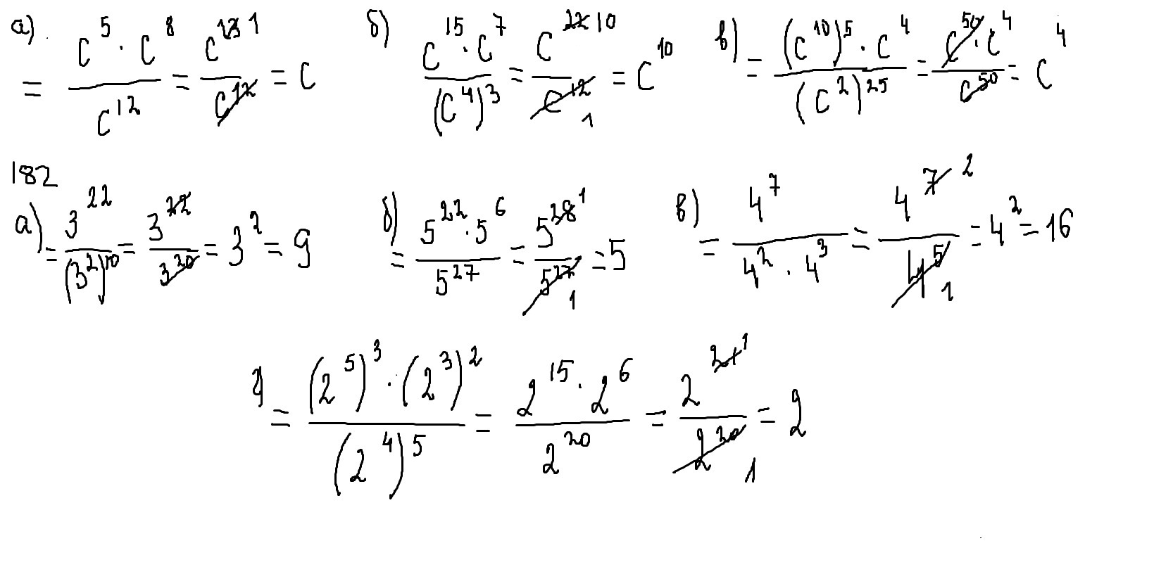
при возведении степени в степень показатели перемножаются,при умножении степеней показатели складываются,при делении степеней показатели вычитаются(конечно же основания степеней должны быть одинаковыми)
где будет не понятно-спроси.
где будет не понятно-спроси.
Приложения:

Вас заинтересует
2 года назад
6 лет назад
9 лет назад
9 лет назад
10 лет назад
10 лет назад