Нужна помощь и объяснение
Как сократить дробь 3n-m/9n²-6mn+m²
И как вообще сокращать подобные дроби?
Ответы
Ответ дал:
0
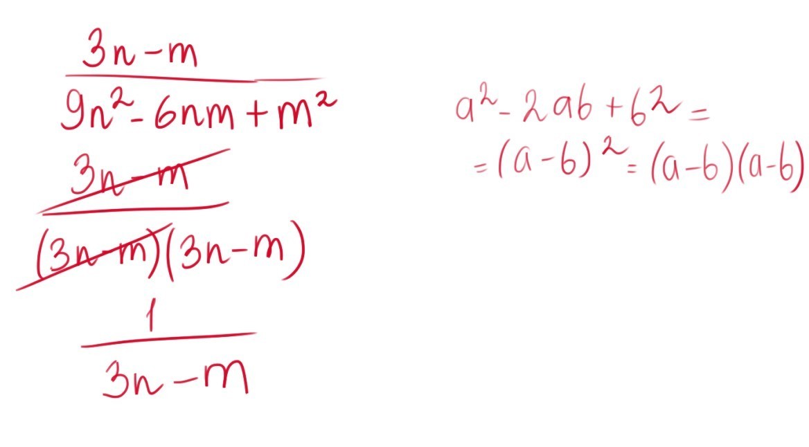
3n-m/9n²-6mn+m²
В знаменателе формула (a^2-2ab+b^2), сворачиваем ее, это будет (a-b)^2, в данном случае (3n-m)^2
В итоге дробь: 3n-m/(3n-m)^2
Сокращаем всю запись в числителе и убираем двойку в знаменателе, ибо знаменатель это (3n-m)*(3n-m).
Итоговая дробь: 1/3n-m
В знаменателе формула (a^2-2ab+b^2), сворачиваем ее, это будет (a-b)^2, в данном случае (3n-m)^2
В итоге дробь: 3n-m/(3n-m)^2
Сокращаем всю запись в числителе и убираем двойку в знаменателе, ибо знаменатель это (3n-m)*(3n-m).
Итоговая дробь: 1/3n-m
Приложения:

Ответ дал:
0
в общем чел решил ниже норм, не вижу смысла писать второй раз
Ответ дал:
0
всм
Ответ дал:
0
че писать
Ответ дал:
0
Благодарю
Ответ дал:
0
я сначала написал, потом понял, что попутал, теперь испралено
Вас заинтересует
2 года назад
6 лет назад
6 лет назад
9 лет назад
9 лет назад
10 лет назад