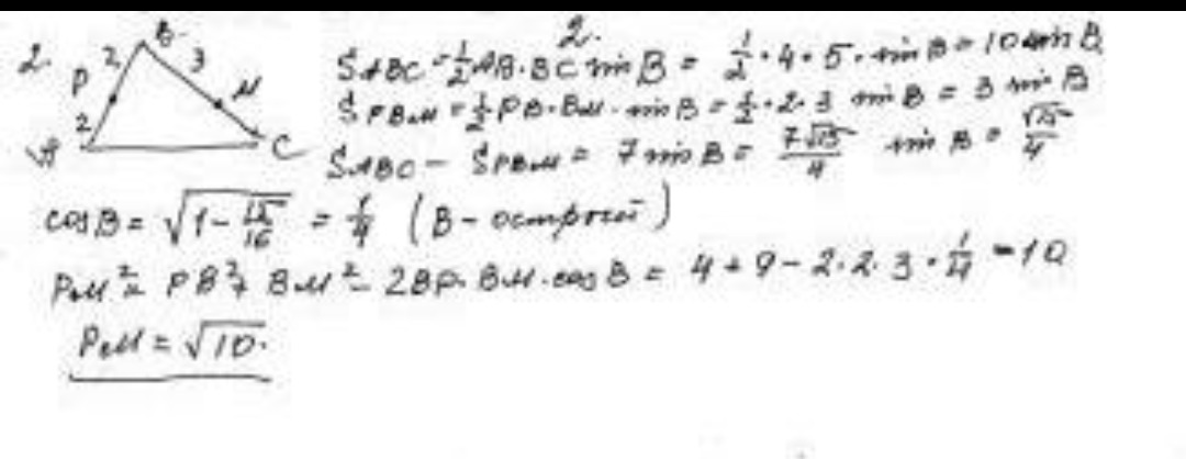
На сторонах АВ и ВС треугольника АВС с острым углом при вершине В взяты точки Р и М, причем Р — середина стороны АВ. Известно, что АВ = 4, ВС = 5, ВМ = 3. Найдите длину отрезка РМ, если площадь треугольника АВС на —^— больше площади треугольника РВМ.
Ответы
Ответ дал:
0
Решение задачи в прикреплённом файле.
Приложения:

Вас заинтересует
2 года назад
2 года назад
6 лет назад
6 лет назад
9 лет назад
9 лет назад
10 лет назад