Ответы
Ответ дал:
0
Просто используешь свойство степеней
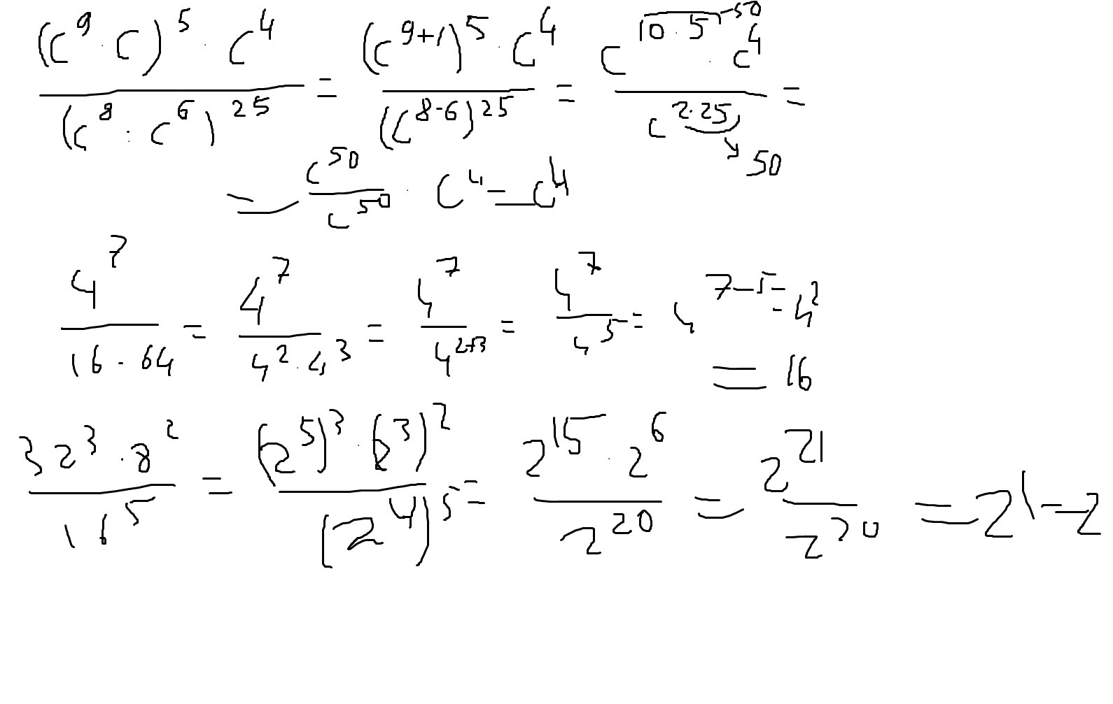
1 - (когда одинаковые основания со степенями перемножаются - то основание остается а степени складываются)
2- (когда одинаковые основания со степенями делятся - то основание остается а степени вычитаются)
3- когда степень в степень возводятся то степени перемножаются а основание остается тем же
1 - (когда одинаковые основания со степенями перемножаются - то основание остается а степени складываются)
2- (когда одинаковые основания со степенями делятся - то основание остается а степени вычитаются)
3- когда степень в степень возводятся то степени перемножаются а основание остается тем же
Приложения:

Ответ дал:
0
или свой контакт
Ответ дал:
0
или добавьте меня здесь в друзья и напишите сообщение
Ответ дал:
0
Нет
Ответ дал:
0
ну флажок в руки тогда) удачи
Ответ дал:
0
выучите свойства степеней
Вас заинтересует
2 года назад
6 лет назад
9 лет назад
10 лет назад