• Предмет: Алгебра
  • Автор: Jashkin
  • Вопрос задан 9 лет назад

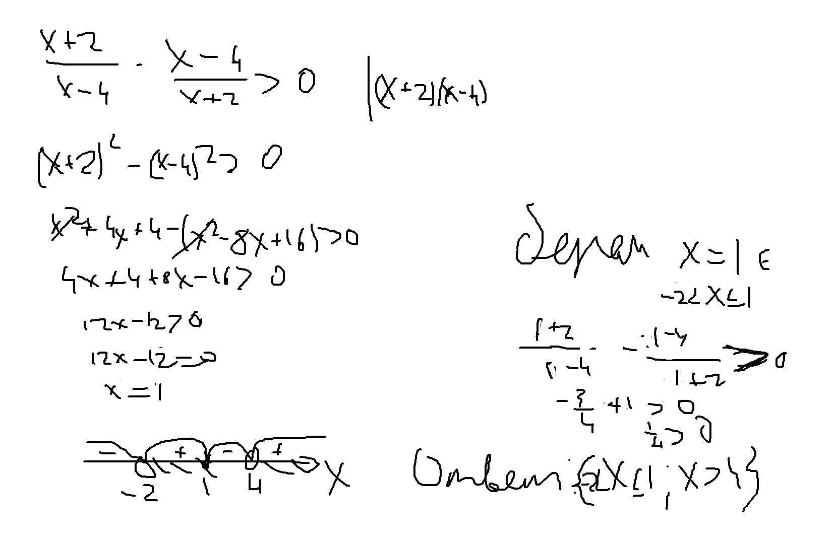
x+2/x-4 - x-4/x+2 >0
Как решить это квадратное неравенство ?

Ответы

Ответ дал: sergio619
0
Так же подставь х=5 и проверь неравенство, получишь что оно выполняется
Приложения:
Вас заинтересует