Ответы
Ответ дал:
0
)))))))))))))))))))))))))))))))
Приложения:


Ответ дал:
0
Спасибо большое!
Ответ дал:
0
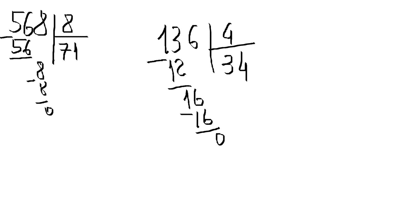
сможешь зделать ещё два примера?
Ответ дал:
0
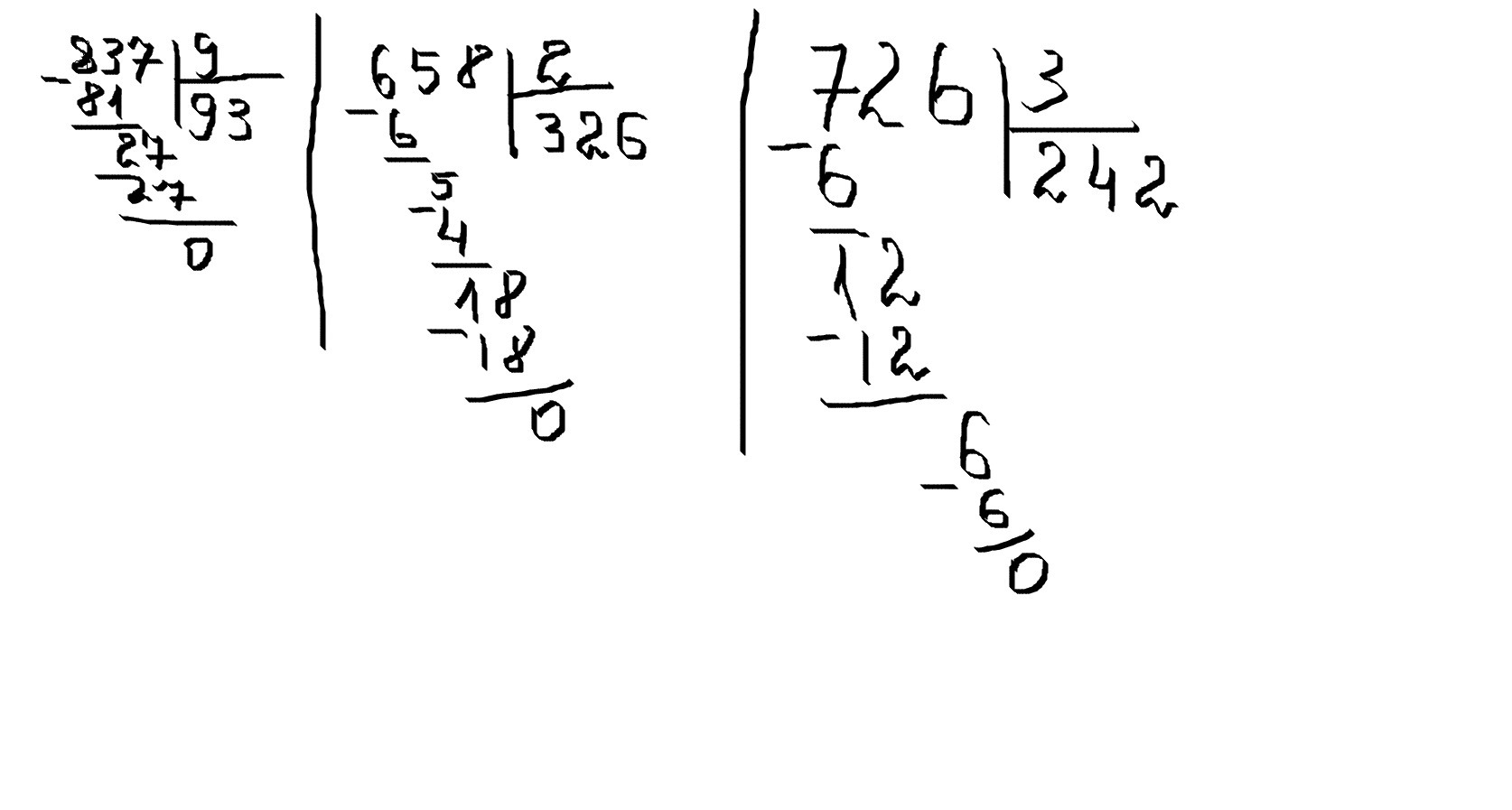
837:9=93; 658:2=329; 726:3=242
Приложения:

Вас заинтересует
2 года назад
2 года назад
6 лет назад
10 лет назад