• Предмет: Алгебра
  • Автор: milanaddd
  • Вопрос задан 9 лет назад

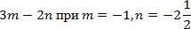
Вычислите значение выражения:
Выберите один ответ:
a. 8
b. 2
c. -2
d. -8

Приложения:

Ответы

Ответ дал: drag7
0
-8
3×(-1)-2×(-2 2/1)=-8
Вас заинтересует