• Предмет: Алгебра
  • Автор: Эрамонд
  • Вопрос задан 9 лет назад

Помогите пожалуйста !
Можете решить, сфоткать и прислать !
Нужны подробные решения с ОДЗ, ну и ответы :)
Заранее огррмное спасибо !
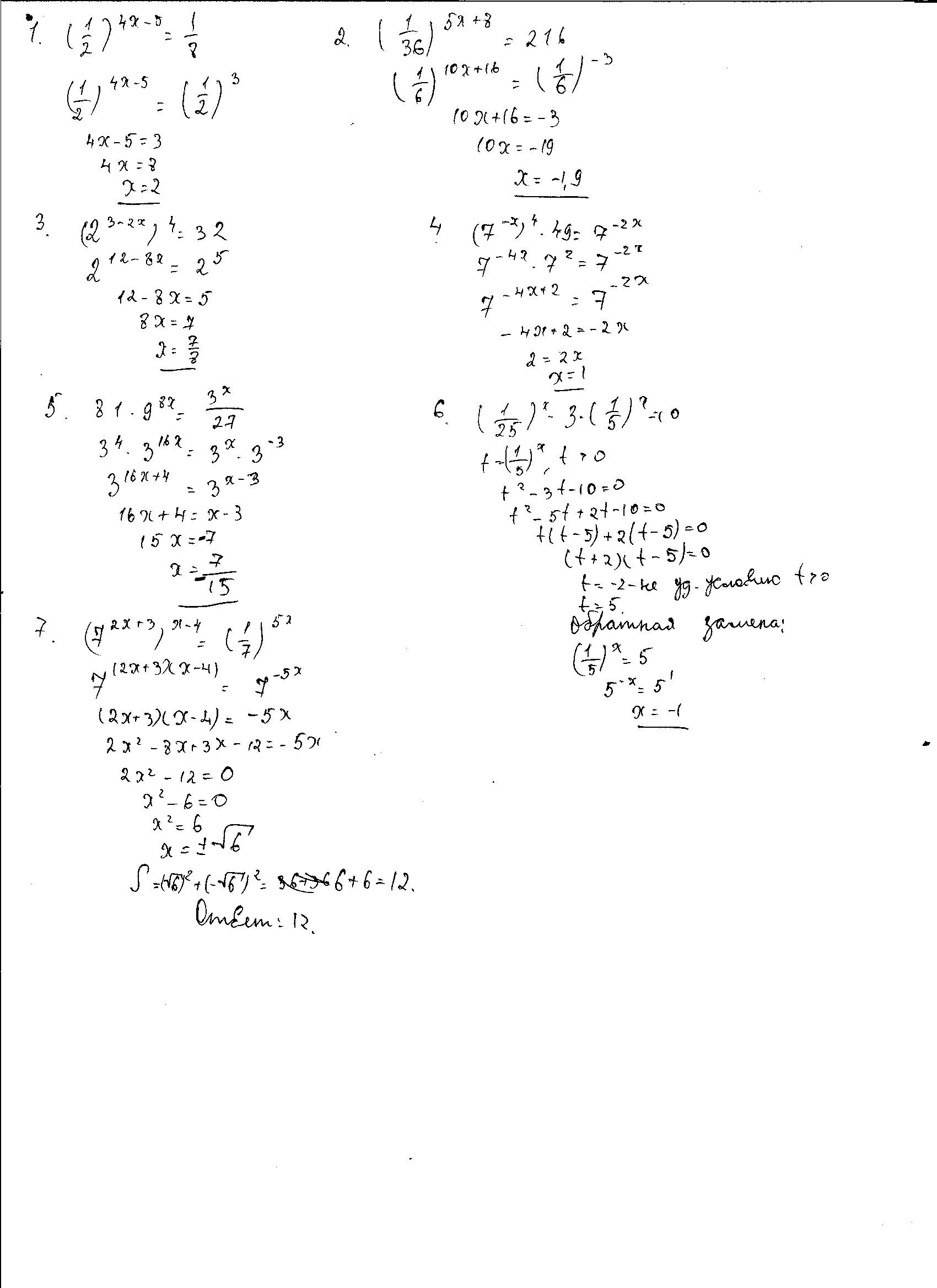
Решите все номера !

Приложения:

Ответы

Ответ дал: Dимасuk
0
Решение задания во вложении. 
Приложения:
Вас заинтересует