Помогите пожалуйста !
Можете решить, сфоткать и прислать !
Нужны подробные решения с ОДЗ, ну и ответы :)
Заранее огррмное спасибо !
Решите все номера !
Приложения:

Ответы
Ответ дал:
0
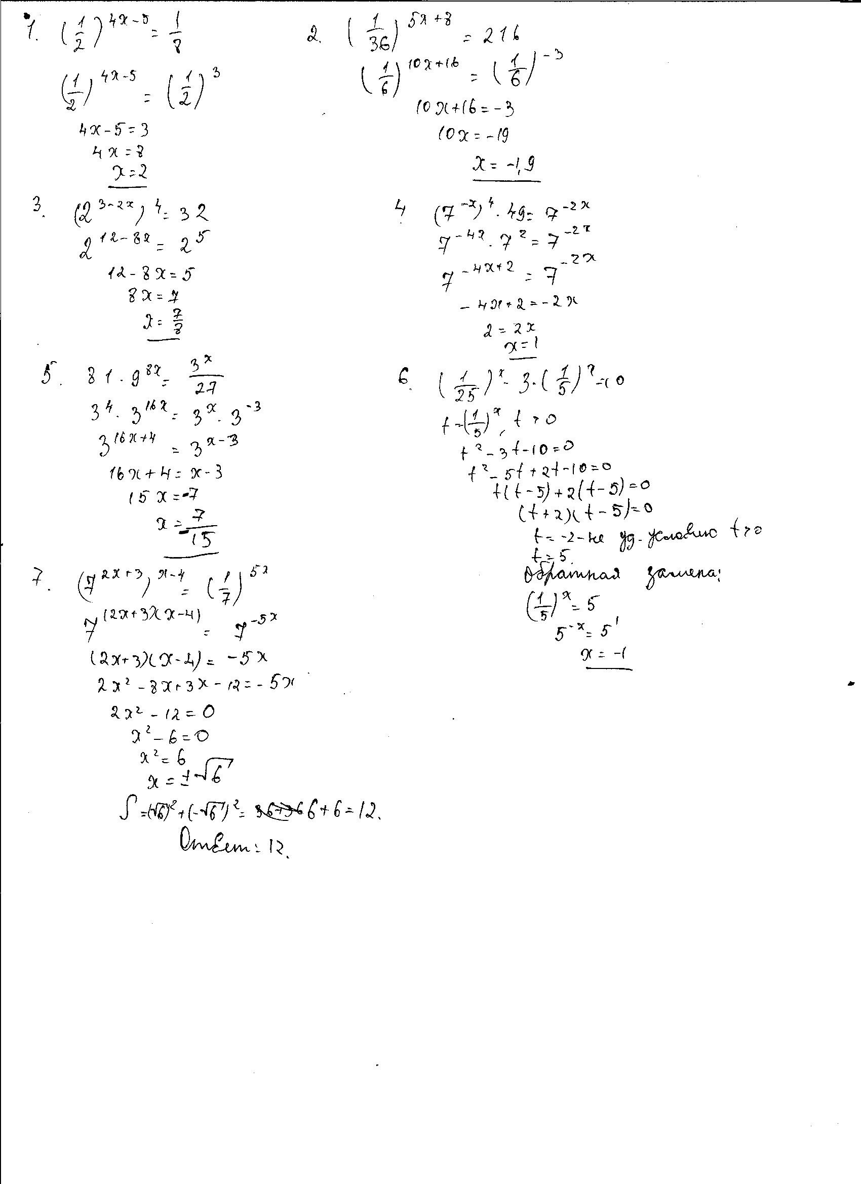
Решение задания во вложении.
Приложения:

Вас заинтересует
2 года назад
2 года назад
9 лет назад
9 лет назад
10 лет назад
10 лет назад