Помогите пожалуйста !
Можете решить, сфоткать и прислать !
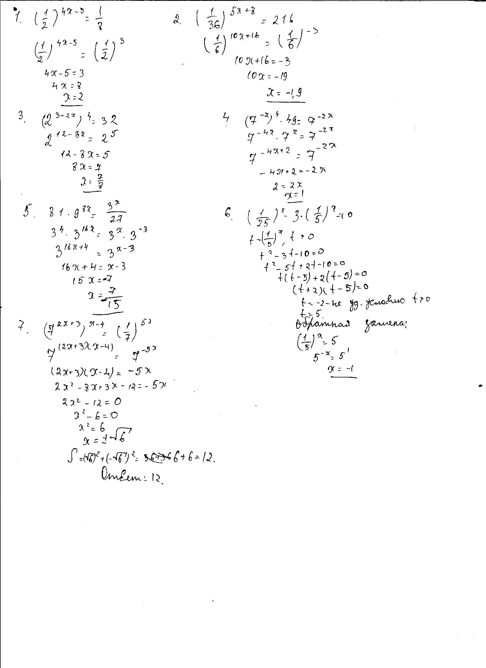
Нужны подробные решения с ОДЗ, ну и ответы :)
Заранее огррмное спасибо !
Решите все номера !
Приложения:

Ответы
Ответ дал:
0
Решение задания во вложении.
Приложения:

Ответ дал:
0
task/25183127
---------------------
см приложения
---------------------
см приложения
Приложения:


Ответ дал:
0
мелко, но спасибо ! 2 бы фоткаси отправил бы)
Вас заинтересует
2 года назад
6 лет назад
6 лет назад
9 лет назад
10 лет назад