Ответы
Ответ дал:
0
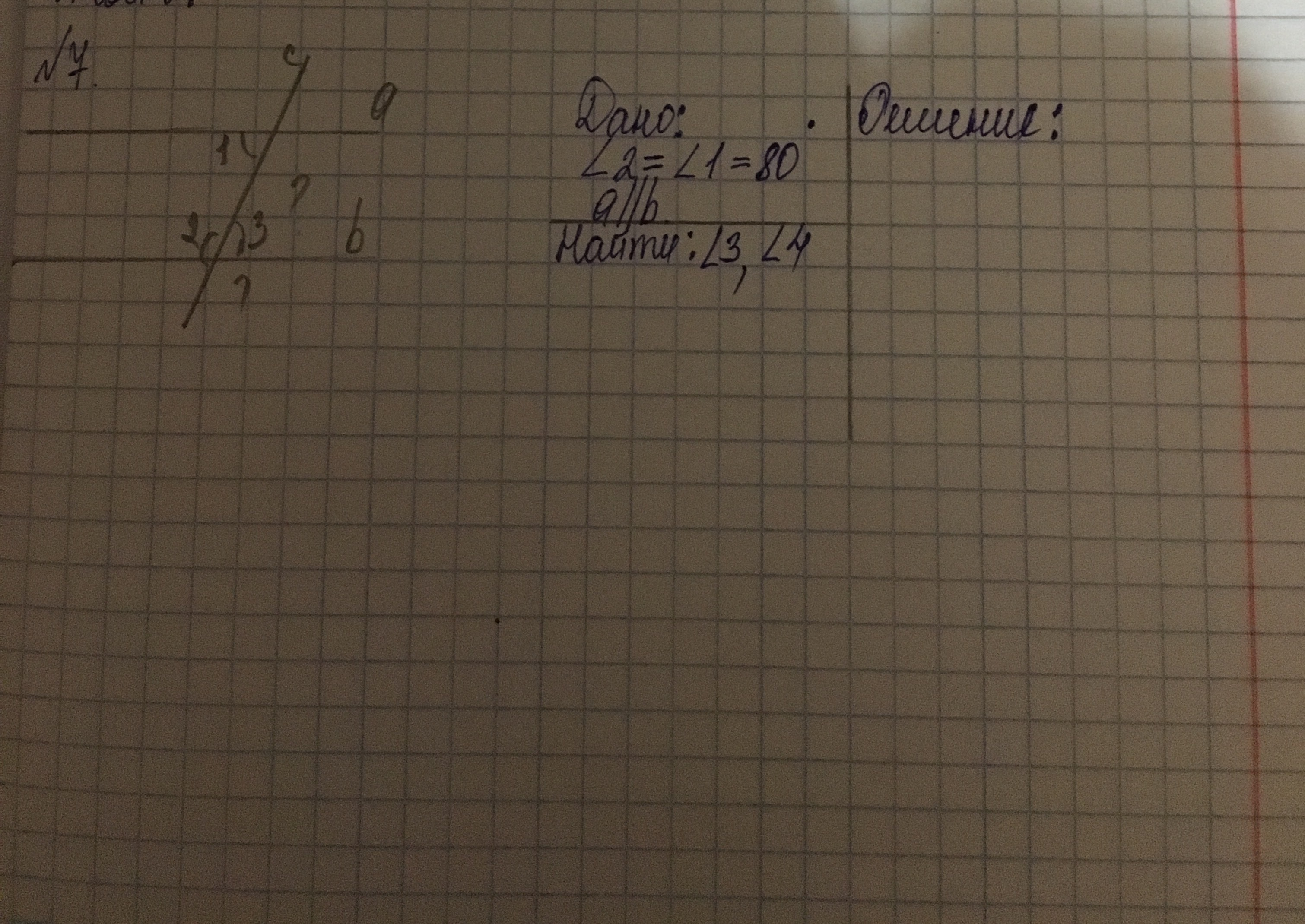
если угол 1 = 80°
то угол 2 = 180-80=100°
угол 3 = углу 1 как накрест лежащие
угол 4 = углу 2 также как накрест лежащие
угол 1 никак не может быть равен углу 2
то угол 2 = 180-80=100°
угол 3 = углу 1 как накрест лежащие
угол 4 = углу 2 также как накрест лежащие
угол 1 никак не может быть равен углу 2
Вас заинтересует
2 года назад
2 года назад
7 лет назад
7 лет назад
10 лет назад