Ответы
Ответ дал:
0
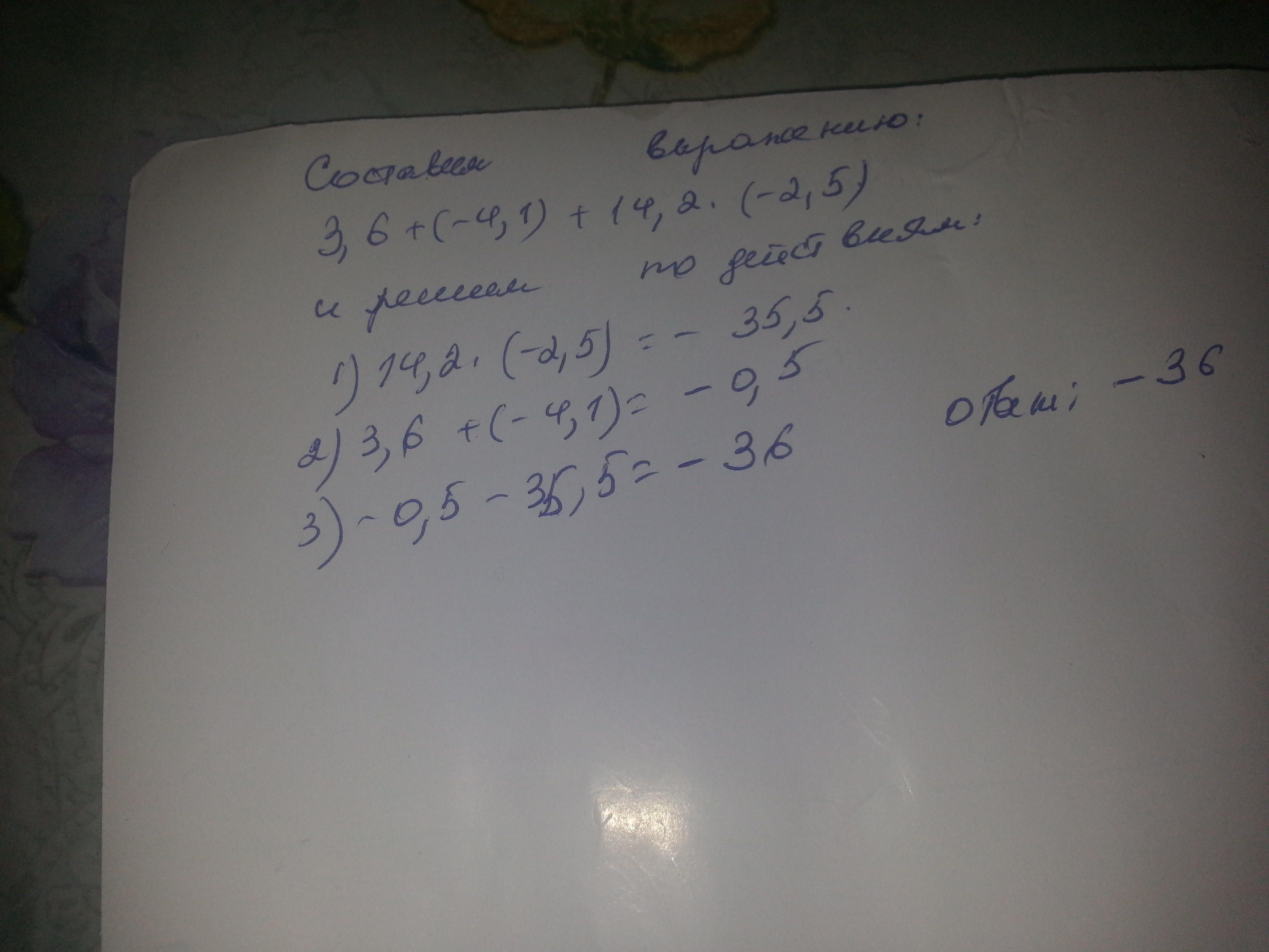
К сумме чисел 3,6 и -4,1...
Найдём сумму этих чисел:
3,6 + (-4,1) = 3,6 - 4,1 = -0,5
...прибавили произведение чисел 14,2 и -2,5.
Произведение чисел:
14,2·(-2,5) = -35,5.
Вся сумма равна:
-0,5 + (-35,5) = -0,5 - 35,5 = -36.
Можно записать в виде одного числового выражения:
(3,6 + (-4,1)) + 14,2·(-2,5) = -36.
Ответ: -36.
Найдём сумму этих чисел:
3,6 + (-4,1) = 3,6 - 4,1 = -0,5
...прибавили произведение чисел 14,2 и -2,5.
Произведение чисел:
14,2·(-2,5) = -35,5.
Вся сумма равна:
-0,5 + (-35,5) = -0,5 - 35,5 = -36.
Можно записать в виде одного числового выражения:
(3,6 + (-4,1)) + 14,2·(-2,5) = -36.
Ответ: -36.
Ответ дал:
0
Вас заинтересует
2 года назад
2 года назад
10 лет назад
10 лет назад
10 лет назад