Ответы
Ответ дал:
0
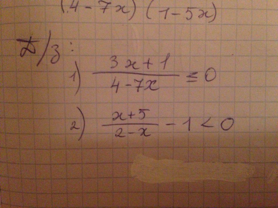
1) __-____[-1/3]____+____(4/7)____-_____
Ответ: (-∞; -1/3]U(4/7;+∞)
2) ((x+5)-(2-x))/(2-x) < 0
(2x+3)/(2-x) < 0
__-___(-1,5)____+_____(2)____-____
Ответ: (-∞; -1,5)U(2;+∞)
Ответ: (-∞; -1/3]U(4/7;+∞)
2) ((x+5)-(2-x))/(2-x) < 0
(2x+3)/(2-x) < 0
__-___(-1,5)____+_____(2)____-____
Ответ: (-∞; -1,5)U(2;+∞)
Вас заинтересует
2 года назад
2 года назад
10 лет назад