Ответы
Ответ дал:
0
Глава V. Метод координат в пространстве. § 1. Координаты точки и координаты вектора.
→ номер 426
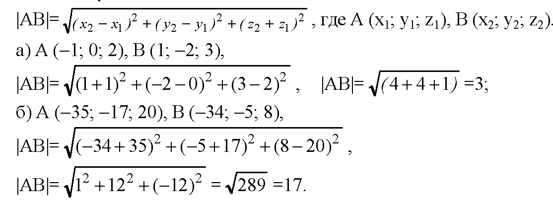
Условие задачи: 426. Найдите длину вектора АВ, если: а) A (— 1; 0; 2), В (1; — 2; 3); б) A (-35; -17; 20), В (-34; -5; 8).
по определению, тогда
Условие задачи: 426. Найдите длину вектора АВ, если: а) A (— 1; 0; 2), В (1; — 2; 3); б) A (-35; -17; 20), В (-34; -5; 8).
по определению, тогда
Приложения:
Вас заинтересует
8 лет назад
8 лет назад
11 лет назад
11 лет назад
11 лет назад