Ответы
Ответ дал:
0
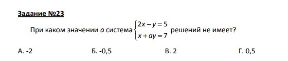
y=2x-5
Надо поставить y в x+ay=7
x+2xa-5a=7
Теперь надо проверить ответы
Если на место a поставим -2 тогда у нас выйдет ответ больше чем 7,
А другие ответы подходят
Ответ: А)-2
Надо поставить y в x+ay=7
x+2xa-5a=7
Теперь надо проверить ответы
Если на место a поставим -2 тогда у нас выйдет ответ больше чем 7,
А другие ответы подходят
Ответ: А)-2
Вас заинтересует
2 года назад
2 года назад
7 лет назад
7 лет назад
9 лет назад
10 лет назад