• Предмет: Алгебра
  • Автор: Style55
  • Вопрос задан 9 лет назад

СРОЧНО 11 КЛАСС!!!!!!!!
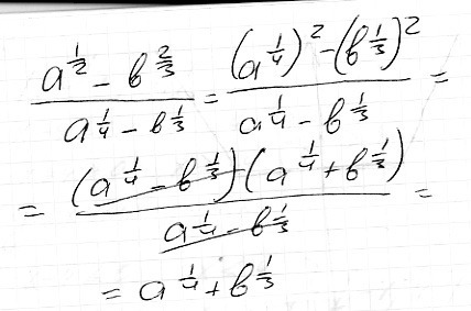
сократить

Приложения:

Ответы

Ответ дал: Simba2017
0
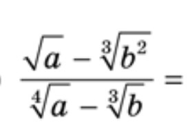
..........................................
Приложения:
Ответ дал: Simba2017
0
то ли еще будет...............)
Ответ дал: Style55
0
можно расписать там x^2*x^3
Ответ дал: Simba2017
0
пишите руками- я не понимаю вопроса
Ответ дал: Style55
0
и получается 7/x *x кореньxy
Ответ дал: Simba2017
0
и фотографию выкладывайте записи
Вас заинтересует