• Предмет: Математика
  • Автор: 1YuriKOkay1
  • Вопрос задан 9 лет назад

Здравствуйте, пожалуйста, помогите решить домашнее задание.
Решите уравнения:

Приложения:

Ответы

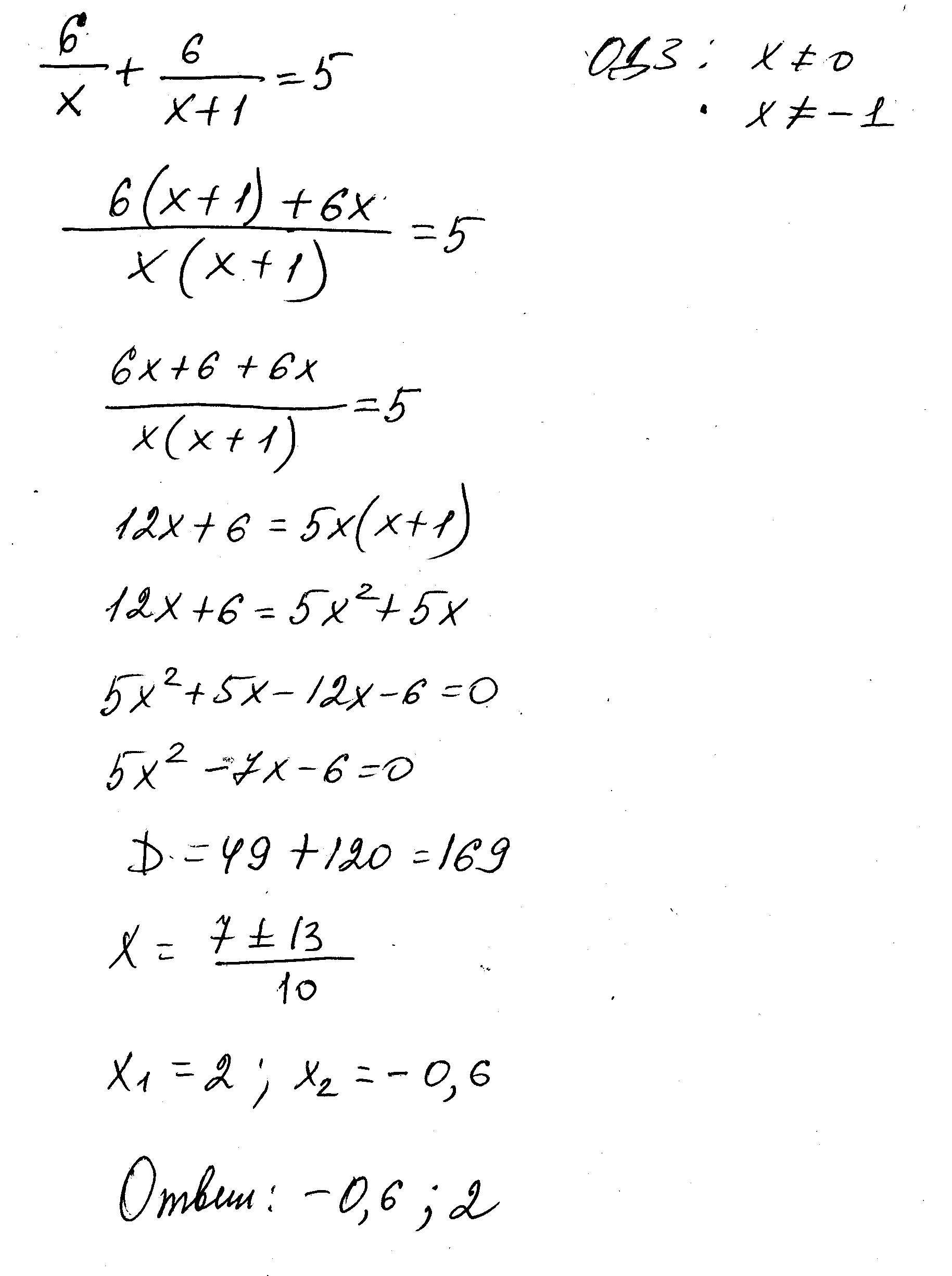
Ответ дал: samodina
0
решение во вложенном файле
Приложения:
Вас заинтересует