Ответы
Ответ дал:
0
Решение задания во вложении.
Приложения:

Ответ дал:
0
1
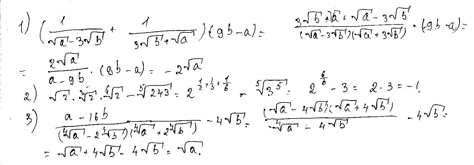
1/(√a-3√b)+1/(√a+3√b)=(√a+3√b+√a-3√b)/(a-9b)=2√a/(a-9b)
2√a/(a-9b) *(9b-a)=-2√a
2
![sqrt[6]{2^3*2^2*2} -3= sqrt[6]{2^6} -3=2-3=-1 sqrt[6]{2^3*2^2*2} -3= sqrt[6]{2^6} -3=2-3=-1](https://tex.z-dn.net/?f=+sqrt%5B6%5D%7B2%5E3%2A2%5E2%2A2%7D+-3%3D+sqrt%5B6%5D%7B2%5E6%7D+-3%3D2-3%3D-1)
3
(√a-4√b)(√a+4√b)/(√a-4√b) -4√b=√a+4√b-4√b=√a
1/(√a-3√b)+1/(√a+3√b)=(√a+3√b+√a-3√b)/(a-9b)=2√a/(a-9b)
2√a/(a-9b) *(9b-a)=-2√a
2
3
(√a-4√b)(√a+4√b)/(√a-4√b) -4√b=√a+4√b-4√b=√a
Приложения:

Вас заинтересует
2 года назад
2 года назад
6 лет назад
9 лет назад
10 лет назад
10 лет назад