Ответы
Ответ дал:
0
За 5 баллов никто такие сложные примеры решать не будет)) Держи, пока я добрая))
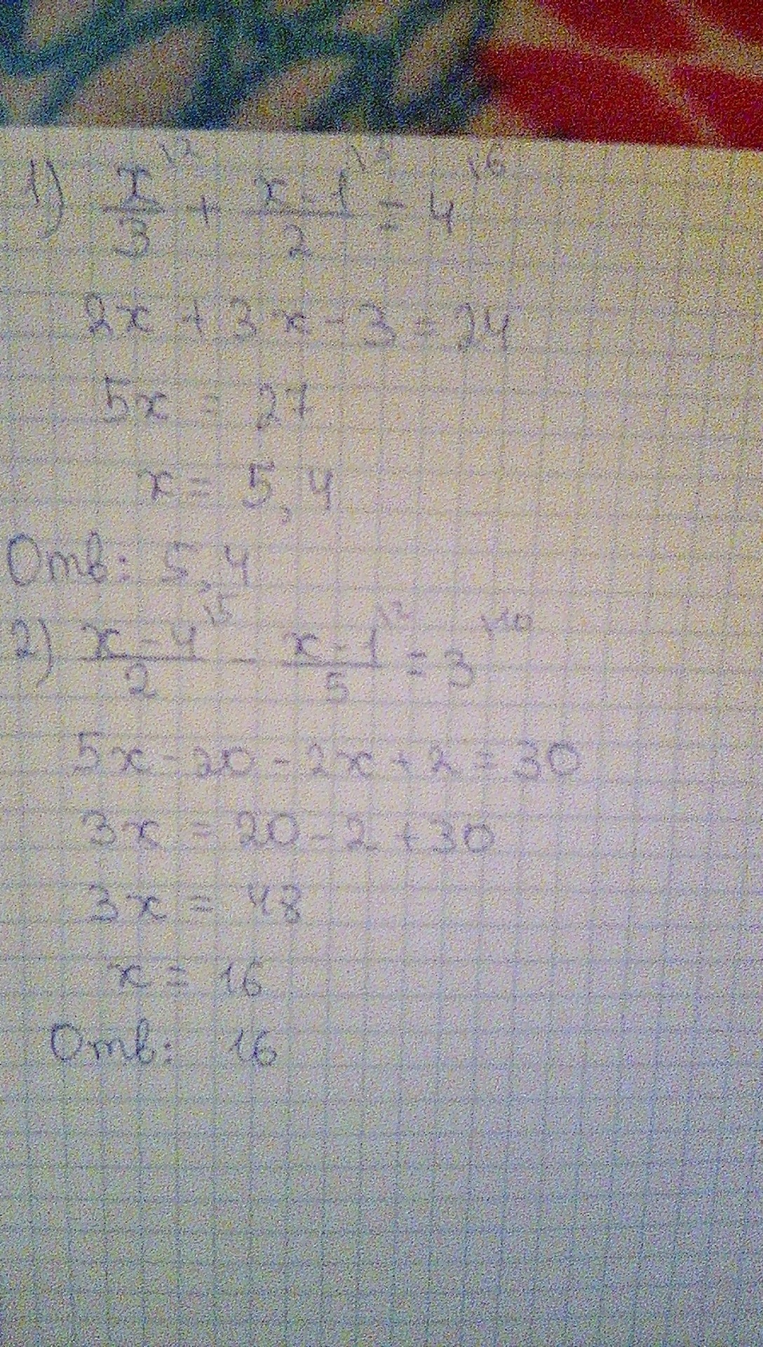
Приложения:

Ответ дал:
0
Настя, приятно)
Ответ дал:
0
взаимно!
Ответ дал:
0
создавай вопрос, попробую решить
Ответ дал:
0
напиши, как создашь)
Ответ дал:
0
создала!!
Вас заинтересует
2 года назад
9 лет назад
10 лет назад