• Предмет: Алгебра
  • Автор: adamihaD
  • Вопрос задан 9 лет назад

помогите пожалуйста )

Приложения:

Ответы

Ответ дал: Аноним
0
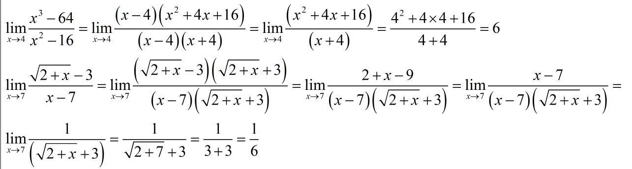
решение смотри во вложении
Приложения:
Вас заинтересует