• Предмет: Алгебра
  • Автор: Аноним
  • Вопрос задан 9 лет назад

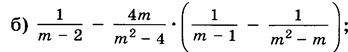
упростите выражение пожалуйста

Приложения:

Ответы

Ответ дал: освобожденный
0

Вот это мой ответ думаю что я тебя помог
Приложения:
Вас заинтересует