• Предмет: Математика
  • Автор: freerasherf
  • Вопрос задан 9 лет назад

выразить переменную a
:::::::::::::::::::::::::::::::::::::::::::::::::

Приложения:

Ответы

Ответ дал: Simba2017
0
..................................................
Приложения:
Ответ дал: подкожного
0
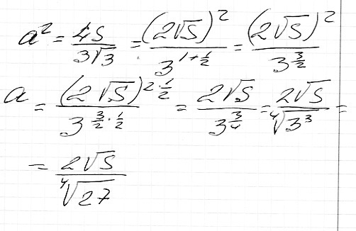
решение задания смотри на фотографии
Приложения:
Ответ дал: подкожного
0
пожалуйста и спасибо за оценку
Вас заинтересует