• Предмет: Математика
  • Автор: baranovi
  • Вопрос задан 9 лет назад

Помогите, пожалуйста, решить показательные неравенства :
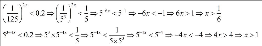
((1/125)^2х)<(0,2)

(5^3-4х)<(0,2)

Ответы

Ответ дал: Аноним
0
решение смотри во вложении
Приложения:
Вас заинтересует